Journal Name: Journal of Clinical Case Reports and Trials
Article Type: Research
Received date: 07 August, 2018
Accepted date: 29 August, 2018
Published date: 10 September, 2018
Citation: Comparison of Total White Blood Cell Count within 24 hours of Traumatic Brain Injury with Outcome using Glasgow Outcome Scale-Extended in Lagos Nigeria
Copyright: © 2018 Morgan E, et al. This is an openaccess article distributed under the terms of the Creative Commons Attribution License, which permits unrestricted use, distribution, and reproduction in any medium, provided the original author and source are credited.
Abstract
Traumatic brain injury (TBI) remains a significant disease burden with great impact on the patient, his family and the community. White blood cell (WBC) count is a laboratory test routinely done in trauma care and has been shown to be predictive of outcome in TBI but the strength of prediction has not been known in comparison with other outcome parameters such as Glasgow coma scale-extended (GOS-E). This research was aimed at comparing the predictive strength of the total white blood cell count within 24 hours of TBI with outcome using GOS-E.
This was a one-year prospective hospital-based study of all patients that presented at the Lagos University Teaching Hospital (LUTH) over a year period with clinical and radiological evidence of TBI within 24 hours of injury and the GOS-E was assessed at six (6) month post injury. One hundred and fifty-eight patients with traumatic brain injury who met the inclusion criteria were studied of the 199 patients recruited. 73.4% of these patients were male and 26.6% were female with a male to female ratio of 3.6:1. A negative correlation was shown between GOS-E done at 6 months post-TBI with total WBC count within 24 hours post-TBI at a correlation coefficient of - 0.090.
This study concluded that total white blood cell count done within 24 post-injury is a weak predictor of outcome in patients with TBI compared to GOS-E.
Keywords
Traumatic brain injury (TBI), WBC count, Glasgow coma scale, Pupillary reactivity.
Abstract
Traumatic brain injury (TBI) remains a significant disease burden with great impact on the patient, his family and the community. White blood cell (WBC) count is a laboratory test routinely done in trauma care and has been shown to be predictive of outcome in TBI but the strength of prediction has not been known in comparison with other outcome parameters such as Glasgow coma scale-extended (GOS-E). This research was aimed at comparing the predictive strength of the total white blood cell count within 24 hours of TBI with outcome using GOS-E.
This was a one-year prospective hospital-based study of all patients that presented at the Lagos University Teaching Hospital (LUTH) over a year period with clinical and radiological evidence of TBI within 24 hours of injury and the GOS-E was assessed at six (6) month post injury. One hundred and fifty-eight patients with traumatic brain injury who met the inclusion criteria were studied of the 199 patients recruited. 73.4% of these patients were male and 26.6% were female with a male to female ratio of 3.6:1. A negative correlation was shown between GOS-E done at 6 months post-TBI with total WBC count within 24 hours post-TBI at a correlation coefficient of - 0.090.
This study concluded that total white blood cell count done within 24 post-injury is a weak predictor of outcome in patients with TBI compared to GOS-E.
Keywords
Traumatic brain injury (TBI), WBC count, Glasgow coma scale, Pupillary reactivity.
Introduction
Traumatic brain injury (TBI) is defined as an alteration of brain function or other evidence of brain pathology caused by an external mechanical force [1]. Brain function may be temporary or permanently damage following trauma. Traumatic brain injury (TBI) constitutes a major health problem with grave social and economic consequence throughout the world [2]. Traumatic brain injury occurs every 15 seconds world-wide, with a patient dying every 12 minutes [3], thus explaining the great impact of traumatic brain injury. A painstaking evaluation of patient with traumatic brain injury is essential in formulating a systematic plan for management. Several outcome models have been used to predict the outcome of traumatic brain injury. Outcome of traumatic brain injury could be predicted based on findings such as Glasgow coma scale (GCS) score, pupillary reactivity (PR) and cranial computed tomography (CCT) scan findings [4-7].
Outcome of TBI is assessed using Glasgow outcome scale extended (GOS-E) which was modified from Glasgow outcome scale (GOS) [8-10]. The total white blood cell count has been noticed to increase with severity of trauma with traumatic brain injury not an exception. Several mechanisms have been elucidated for the rising values of total WBC count increasing with severity of TBI [11-16].
Our aim was to compare the total white blood cell count within 24 hours of traumatic brain injury with outcome using the Glasgow outcome scale-extended.
Methodology
This is a hospital based prospective study of 158 patients who presented over a year period ranging from October 2014 to September 2015 with confirmed isolated TBI with 24 hours of injury. 5mls of blood sample was obtained in an Ethylene Diamine Tetra Acetic Acid (EDTA) bottle and sent for full blood count analysis at a specific reference laboratory in LUTH during which total white blood cell count (WBCC) was analysed using auto-analyser (MEK- 6400 haematology analyzer). The patients with traumatic brain injury (TBI) meeting the inclusion criteria had a cranial computed tomography (CCT) scan performed at the radiological department of LUTH using Toshiba Aqillol 128 slice CT scanner. The outcome was assessed by the GOS-E89 at 6 months post-TBI.
Inclusion criteria
Patients with clinical and radiological features of isolated TBI presenting within 24 hours of injury to the Neurosurgical unit of LUTH after obtaining informed consent.
Exclusion criteria
- Patients with TBI who present to the hospital after 24 hours of injury.
- Patients with TBI who are diagnosed clinically to be brain dead at presentation.
- Patients with evidence of confirmed/established ongoing infectious processes before injury.
- Patients with confirmed diseases that may alter white blood cell count such as hematological disorders like leukemia and lymphoma, and uncontrolled diabetes mellitus.
- Patients with open wounds and other systems injuries other than TBI.
- Patients not consenting to be part of the study.
Data analysis
All statistical analyses were done using descriptive and inferential statistics.
P value <0.05 was taken as significant. Data collected were collated using statistical package for social science (SPSS) Illinois Chicago version 21.
Results
Age and sex distribution
A total of one hundred and ninety-nine patients were recruited into the study. 41 (20.6%) of these patients were excluded from analysis due to incomplete data and lost to follow. Altogether 158 patients met the inclusion criteria with complete data were analyzed.
Age of patients ranged between 5-83 years with a mean age of 37.04 ± 18.37 years.
Most of the patients were in the age range of 31-40 years and 20-29 years representing 21.5% and 20.9% respectively. This is closely followed by those between 40-49years and 60-69years representing 16.5% and 12.7% respectively. One hundred and sixteen (73.4%) of these patients were males, while 42(26.6%) were females, with a male: female ratio of 3.6:1. Table 1 shows the age group distribution and Figure 1 shows the gender distribution.
Table 1: Distribution of patients’ age group: The age distribution of patients with 20.9% and 21.5% between the third and fourth decade respectively.
| Age group in year(s) | Frequency (%) |
|---|---|
| 0-9 | 16(10.1) |
| 10-19 | 9(5.7) |
| 20-29 | 33(20.9) |
| 30-39 | 34(21.5) |
| 40-49 | 26{16.5) |
| 26{16.5) | 15(9.5) |
| 60-69 | 20(12.7) |
| 70-79 | 4(2.5) |
| >80 | 1(0.6) |
| Total | 158(100) |
Figure 1: Sex Distribution: Male accounted for 73.4% of the total patients studied as shown in the pie chart, while 26.6% were female.
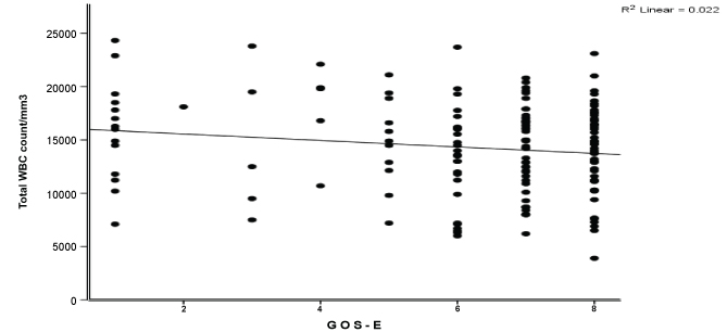
The spearman’s correlation coefficient (2-tailed) was -0.090 showing a negative association between GOS-E at 6 months and total WBCC within 24 hours with p>0.05(p=0.262) as shown in Table 2 (Figure 2).
Table 2: Showing the relationship between GOS-E and total white blood
cell count.
P value not significant.
| Variable | GOS-E at 6 Month Post- TBI | |
|---|---|---|
| Total white blood cell count within 24 hours | Spearman coefficient | P value |
| -0.090 | 0.262 | |
Figure 2: Scattered diagram showing the relationship between total WBC within 24 hours of TBI and GOS-E at 6 months TBI.
Discussion
The devastating nature of traumatic brain injury creates an aura which cannot be ignored, it is a silent epidemic with grave consequences to the patient, society and country. Predicting the outcome of traumatic brain injury remains a veritable component in the management of TBI. Over the years, the total white blood cell count (WBCC) as an outcome parameter has been identified but the predictive strength of total WBC count is yet to be determined within our environment and world-wide. Several mechanism have ben elucidated as probable reason for elevated level of the total WBC count in TBI. Cathecolamine levels are raised following a TBI. Cathecolamines are released following a stressful event of TBI from the sympatho-adrenal gland and causes neutrophils to be release from their stores leading to neutrophilia and may result in elevated WBCC in peripheral circulation [11].
Correlation of Gos-E at 6 months with total WBC count within 24 hours of traumatic brain injury
In this study, a negative correlation was established between GOS-E at 6 months and total WBC count within 24 hours. The association was weak with a correlation coefficient of minus 0.090 at a p value of 0.262 (not significant) (Table 2). This showed that despite the negative correlation, it was insignificant and an inference cannot be drawn between total WBCC and GOS-E at 6 months.
Gurkanlar, et al [17] in their retrospective study involving 59 patients showed that higher level of total WBC count correlate with poor neurological outcome with statistically significant relationship (p<0.01). The difference between this study and that of Gunkalar, et al may be due to varied reasons-type of study (prospective/retrospective) and sample size of 158 compared to 59 in their study. Similar findings to that of Gurkanlar, et al [17] were also noted by Rovlias, et al [18] in their study involving 713 patients with blunt trauma, they noted that patients with GCS of 8 or less associated with elevated total WBC count resulted in poor neurological outcome. A similar finding was also seen from the works of Rovlias, et al [18]. The other reason possibly responsible for this difference may be due to non-specificity of whether there was multi-systemic involvement rather than isolated TBI from their study.
Findings from Table 3 showed that the higher the total WBCC, the lower the value of GOS-E and vice versa, hence predicting a poor outcome. This finding was similar to that of Gurkanlar, et al [17]. Boggs, et al [11] and Keskil, et al [12] have earlier shown that the total white blood cell count increases with severity of TBI and with grades of GOS.
Table 3: Showing the relationship between the mean WBC count and GOS-E.
| GOS-E Grading* | N (%) | Mean WBC (mm3) |
|---|---|---|
| Favourable outcome | 133(84.17) | 13941.28 ± 4108.33 |
| Unfavourable outcome | 25(15.83) | 16081.60 ± 4978.68 |
| Total | 158(100) | 14279.94 ± 4312.06 |
| GOS-E grading*: Favourable grade: 1- 4, Unfavourable grade: 5-8. | ||
Conclusion
It can be concluded that total white blood cell count level can be compared with respect to stratifying the outcome of TBI as level increases with decreasing grades of GOS-E.
There are no references



